Вопрос к вет.врачу
Модератор: Модераторы регистратуры
- Автор
- Сообщение
-
Не в сети
- Сообщения: 360
- Зарегистрирован: 27 фев 2016, 13:49
- Откуда: Москва/Звенигород
- Благодарил (а): 236 раз
- Поблагодарили: 217 раз
Re: Вопрос к вет.врачу
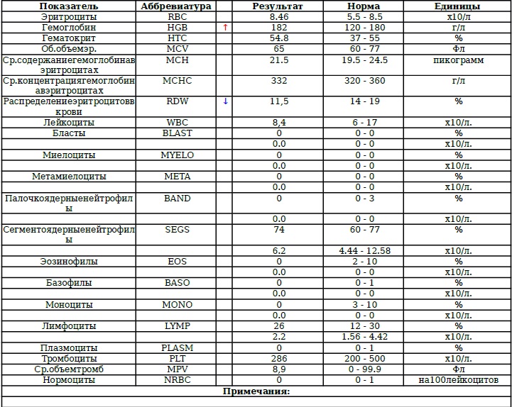
Сейчас пришли анализы. По ним можно что-нибудь сказать и понять? заранее спасибо!
-
Не в сети
- Сообщения: 3534
- Зарегистрирован: 02 апр 2012, 00:28
- Откуда: Москва, вао
- Благодарил (а): 3 раза
- Поблагодарили: 125 раз
Re: Вопрос к вет.врачу
Анализы в норме, кроме лдг, изолировано может повышаться чаще всего при ушибах. Остальные патологии дают сочетания изменений в анализах.
-
Не в сети
- Сообщения: 10265
- Зарегистрирован: 14 июл 2009, 17:00
- Откуда: Беларусь, Минск
- Благодарил (а): 5176 раз
- Поблагодарили: 2125 раз
Re: Вопрос к вет.врачу
У пса Шантиной крестной вот такая симметрично расположенная хрень в районе поясницы
Первый раз вылезло несколько месяцев назад и совпало со сменой корма. Ветеринар прощупал почки, сказал, что все ок и вернуть старый корм.
Тогда все заросло с большего. А сейчас на том же старом корме все вернулось
Пес кастрат, 10 лет
Вспомнила еще, что и сейчас, когда в течке, и прошлый приезд, когда течки не было в помине, Шанти пыталась его вязать. А раньше так не было
Может, гормональные проблем?
Какие анализы сдавать? А то снова прощупают почки и отправят домой
?
Первый раз вылезло несколько месяцев назад и совпало со сменой корма. Ветеринар прощупал почки, сказал, что все ок и вернуть старый корм.
Тогда все заросло с большего. А сейчас на том же старом корме все вернулось
Пес кастрат, 10 лет
Вспомнила еще, что и сейчас, когда в течке, и прошлый приезд, когда течки не было в помине, Шанти пыталась его вязать. А раньше так не было
Может, гормональные проблем?
Какие анализы сдавать? А то снова прощупают почки и отправят домой
_________________
«О величии народа можно судить по его отношению к животным» Махатма Ганди
«О величии народа можно судить по его отношению к животным» Махатма Ганди
-
Не в сети
- Сообщения: 21665
- Зарегистрирован: 11 янв 2009, 11:20
- Откуда: Москва
- Благодарил (а): 5409 раз
- Поблагодарили: 9800 раз
- Контактная информация:
Re: Вопрос к вет.врачу
Симметричные алопеции это вопрос к гормонам. Но при этом кожа чистая, зуда нет.
-
Не в сети
- Сообщения: 10265
- Зарегистрирован: 14 июл 2009, 17:00
- Откуда: Беларусь, Минск
- Благодарил (а): 5176 раз
- Поблагодарили: 2125 раз
Re: Вопрос к вет.врачу
Ирина, спасибо. А на какие гормоны сдавать? может, лучше сразу явиться с полным набором анализов?
моча нужна?
кровь общая или биохимия?
какие гормноны?
Спасибо
моча нужна?
кровь общая или биохимия?
какие гормноны?
Спасибо
_________________
«О величии народа можно судить по его отношению к животным» Махатма Ганди
«О величии народа можно судить по его отношению к животным» Махатма Ганди
-
Не в сети
- Сообщения: 21665
- Зарегистрирован: 11 янв 2009, 11:20
- Откуда: Москва
- Благодарил (а): 5409 раз
- Поблагодарили: 9800 раз
- Контактная информация:
Re: Вопрос к вет.врачу
Юль, если кастрат, то щитовидка и надпочечники (Т4, ТТГ и кортизол).
Но перед этим проверьте пароанальные железы, биохимию
Но перед этим проверьте пароанальные железы, биохимию
-
Не в сети
- Сообщения: 10265
- Зарегистрирован: 14 июл 2009, 17:00
- Откуда: Беларусь, Минск
- Благодарил (а): 5176 раз
- Поблагодарили: 2125 раз
Re: Вопрос к вет.врачу
спасибо, сделаем 
_________________
«О величии народа можно судить по его отношению к животным» Махатма Ганди
«О величии народа можно судить по его отношению к животным» Махатма Ганди
-
Не в сети
- Сообщения: 988
- Зарегистрирован: 25 янв 2008, 20:47
- Откуда: Питер
- Благодарил (а): 2659 раз
- Поблагодарили: 72 раза
Re: Вопрос к вет.врачу
Можно ли использовать Траумель в таблетках при артрите? Собаке почти 13 лет, диабет.
-
Не в сети
- Сообщения: 988
- Зарегистрирован: 25 янв 2008, 20:47
- Откуда: Питер
- Благодарил (а): 2659 раз
- Поблагодарили: 72 раза
Re: Вопрос к вет.врачу
Ирина, спасибо. Роксанка периодически, когда встает, идёт на 3-х лапах. По рентгену есть артрит. Ирина, а дозировка на 6,5 кг какая?
-
Не в сети
- Сообщения: 454
- Зарегистрирован: 08 дек 2014, 13:07
- Откуда: г. Ульяновск
- Благодарил (а): 17 раз
- Поблагодарили: 67 раз
Re: Вопрос к вет.врачу
Добрый день. Рузвельт уже четвертый день после кастрации, все это время поведение очень странное: просится на улицу-выйдет и стоит, не понятно то ли больно, то ли жарко (хотя дома температура обычная). И еще очень много пьет воды, за 5 лет прибывания у нас он столько не пил. Температура 38. Такое поведение это нормально?
Утром сегодня спрыгивал с дивана и взвизгнул(
Утром сегодня спрыгивал с дивана и взвизгнул(
-
Не в сети
- Сообщения: 21665
- Зарегистрирован: 11 янв 2009, 11:20
- Откуда: Москва
- Благодарил (а): 5409 раз
- Поблагодарили: 9800 раз
- Контактная информация:
Re: Вопрос к вет.врачу
Ну болезненность возможна.... хотя обычно уже нет. Посмотрите, пощупайте как там местная температура.
-
Не в сети
- Сообщения: 1593
- Зарегистрирован: 05 июн 2015, 23:32
- Откуда: Москва
- Благодарил (а): 376 раз
- Поблагодарили: 403 раза
Re: Вопрос к вет.врачу
Здравствуйте. Собака чешется. Остервенело чешет глаза и подбородок, изредка уши, резко может начать чесать какую-то часть тела, будто там блоха.
За два месяца, что она у нас, не сработали такие лечения, как тавегил+валерианка+глицин, новокаин локально в места чесания, смена питания на корм без курицы, потом на натуралку. Демодекоз не найден, от клещей с блохами обрабатывается. Высыпаний, кроме редких с 3-4мм в диаметре волдырей гнойных, не было, глаза и подбородок с ушами чистые. Стабильно изо рта запах, как от воспаленных перианальных желез, которые также чистые сейчас.
К еде даю рыбий жир, постоянно творог, ряженка, фрукты. Недавно резко и с аппетитом начал, а потом перехотел есть собачьи отходы на улице.
У прошлых хозяев принимал стопзуд летом.
Анализы крови в норме.
Что могло бы быть причиной зуда? Интернет ответа не дал
За два месяца, что она у нас, не сработали такие лечения, как тавегил+валерианка+глицин, новокаин локально в места чесания, смена питания на корм без курицы, потом на натуралку. Демодекоз не найден, от клещей с блохами обрабатывается. Высыпаний, кроме редких с 3-4мм в диаметре волдырей гнойных, не было, глаза и подбородок с ушами чистые. Стабильно изо рта запах, как от воспаленных перианальных желез, которые также чистые сейчас.
К еде даю рыбий жир, постоянно творог, ряженка, фрукты. Недавно резко и с аппетитом начал, а потом перехотел есть собачьи отходы на улице.
У прошлых хозяев принимал стопзуд летом.
Анализы крови в норме.
Что могло бы быть причиной зуда? Интернет ответа не дал
_________________
Я знаю эту ведьму - она не из самых страшных. (С) Синкен Хопп
Я знаю эту ведьму - она не из самых страшных. (С) Синкен Хопп
-
Не в сети
- Сообщения: 21665
- Зарегистрирован: 11 янв 2009, 11:20
- Откуда: Москва
- Благодарил (а): 5409 раз
- Поблагодарили: 9800 раз
- Контактная информация:
Re: Вопрос к вет.врачу
Насть, подавай тавегил по 1/2 таблетки 2 раза в день 3 дня и опиши потом свои ощущения:)
-
Не в сети
- Сообщения: 1593
- Зарегистрирован: 05 июн 2015, 23:32
- Откуда: Москва
- Благодарил (а): 376 раз
- Поблагодарили: 403 раза
Re: Вопрос к вет.врачу
как и в первый раз: ну часа полтора почешется поменьше, потом все заново. То есть фактически никак(zver писал(а):Насть, подавай тавегил по 1/2 таблетки 2 раза в день 3 дня и опиши потом свои ощущения:)
_________________
Я знаю эту ведьму - она не из самых страшных. (С) Синкен Хопп
Я знаю эту ведьму - она не из самых страшных. (С) Синкен Хопп
-
Не в сети
- Сообщения: 7494
- Зарегистрирован: 26 ноя 2007, 15:14
- Откуда: Королев Мос.обл.
- Благодарил (а): 1522 раза
- Поблагодарили: 75 раз
Re: Вопрос к вет.врачу
Мы сейчас в клинике в Бибирево,у них есть пропалин,цена 100 мл 1045 руб,может надо кому ? Хотя наверно везде появился
-
Не в сети
- Сообщения: 21665
- Зарегистрирован: 11 янв 2009, 11:20
- Откуда: Москва
- Благодарил (а): 5409 раз
- Поблагодарили: 9800 раз
- Контактная информация:
Re: Вопрос к вет.врачу
Насть, просто если чешется меньше из-за того, что спит, то это говорит о том, что это врядли аллергия.Анастасия Нибелунг писал(а):как и в первый раз: ну часа полтора почешется поменьше, потом все заново. То есть фактически никак(zver писал(а):Насть, подавай тавегил по 1/2 таблетки 2 раза в день 3 дня и опиши потом свои ощущения:)
Если говорить о психозе, сейчас спадут холода и попробуйте пацана грузить физически. Физическая нагрузка сильно снижает беспокойство....
-
Не в сети
- Сообщения: 1593
- Зарегистрирован: 05 июн 2015, 23:32
- Откуда: Москва
- Благодарил (а): 376 раз
- Поблагодарили: 403 раза
Re: Вопрос к вет.врачу
часто он начинает рьяно начесывать себя во время игры/занятий/бега, то есть от эмоционального как раз возбуждения.zver писал(а): Насть, просто если чешется меньше из-за того, что спит, то это говорит о том, что это врядли аллергия.
Если говорить о психозе, сейчас спадут холода и попробуйте пацана грузить физически. Физическая нагрузка сильно снижает беспокойство....
Или просто во сне. Сейчас вот после тавигила и новокоина локально уже полчаса не может остановиться.
То есть графика расчесываний нет. Как и нет теперь ресниц почти на самом зудящем глазу, левом, - обломал в процессе.
_________________
Я знаю эту ведьму - она не из самых страшных. (С) Синкен Хопп
Я знаю эту ведьму - она не из самых страшных. (С) Синкен Хопп